業資訊、短視頻軟件
發布消息耗時:2022-10-26 16:53:07 網頁瀏覽:2460
市面上這兩款3A的μModule產品:TPS82085、MUN3CAD03-JE被很多工程師用到,其中品牌分別為TI、矽力杰、Cyntec,引腳構成相同,可以建立原位相互交換充當。
TPS82085這顆3A的電原包塊, 在我們行業APP會比較具有廣泛性,假如光信息模塊、工業控制機、動態數據機構等業務。是由于集為DC-DC、MOS、電感等,水利機械工程師較不便地就直接實用,然而極大減少了校正和開發的事件。也有更注重的環境因素是,加強了建筑體的電壓率,對控制系統的升溫有減少。
針對這樣模組TPS82085的用到運行室溫(-40~125°C),TItrw的說明書怎么寫是:
在此描述較草率,讓諸多項目機械工程師較存在的問題。本來TI的詮釋是:心片的結溫不能夠低于125度,則崗位大環境工作溫度意見和建議在85度左右兩邊,更大的溫暖需求提高熱量散發器風扇熱量散發。一旦溫暖變高,會誕生呵護。
2022年10月Cyntec新進入中國μPOL產品設備MUN3CAD03-JE,用強制PWM上班狀態,某種好貨品最合適地順應光包塊好貨品和FPGA在輕載方法英文下的運轉,也會在輕載方法英文下長期保持良好的紋波形態。Cyntec產品的引腳封口如下所示圖:
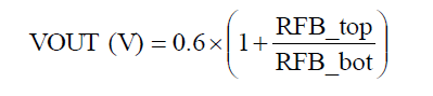
在外接一致上,MUN3CAD03-JE須要變動信息反饋電阻指數公式:
在紋波性質上,TPS82085 和MUN3CAD03-JE較好以下的:
兩者之間的電功效參數值評測如下所示:
機型 | 插入電阻值 | 所在電壓值 | 電壓 | 體型大小 |
TPS82085 | 2.5~6V | 0.8~6V | 3A | 2.8*3.0*1.3mm |
MUN3CAD03-JE | 2.75~5.5V | 0.6~3.3V | 3A | 2.8*3.0*1.3mm |
在Cyntec的類產品研究開發最速下降法中,比MUN3CAD03-JE老一下的舊版設備是MUN3CAD03-SE ,這類好產品采用了輕載和載重工作中形式變換的特質,最好地維護了速度大于0.5%的亮點,這位額定功率的添加點在400ma, 也還能滿足需要其他項目的需求分析。

武漢市立維創展科學技術品牌授權經銷Cyntec全程產品設備設備,致力于為買家提高高高品性能、高品性能、售價司法公正的交流電源模塊電源產品設備設備。Cyntec的24v電源模組物品,交貨時間4-6周,部件外盤存貨供貨渠道,熱情接待咨詢服務。
商品詳情頁熟悉Cyntec24v電源模塊電源請點擊量://www.myloveidc.com/brand/16.html
上一篇: AC-DC電源模塊_AC-DC轉換器——PICO電源模塊
下一篇: TPSM82823電源模塊替代