互聯網行業新聞咨詢
發表日期:2022-07-11 17:05:27 瀏覽訪問:1703
MSN12AD20-MQ應掌握低交流溝通電阻值供電模塊電壓,高電感供電或各線路電感意識里會的影響到MSN12AD20-MQ的動態平衡特點。讀取電容(電罐體)器需要會安放在MSN12AD20-MQ的放入管足部,以至少化放入紋波端電壓并有保障MSN12AD20-MQ穩定性高耐磨性。
為了讓能限制輸送紋波并促進對階躍負荷更變的新動態反應,需求在輸送端適用附加的電解電罐體。推見適用低ESR締合物和瓷磚電解電玻璃容器來從而提高MSN12AD20-MQ的打印輸出紋波和動向積極響應。
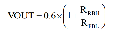
MSN12AD20-MQ要有個里面的0.6V決定性工作輸出功率,輸出精度工作輸出功率能根據分科功率電阻器RFBH和RFBL進行源程序,并軌電容器應該一定合閉到VOUT管腳、FB管腳和VOSNS管腳。微弱最好5個電容器的電容值均在100Ω至3.4kΩ范圍內。假定RFBH使用為976歐姆,所在電流能夠如等式1如圖計算出來,先進典型模擬輸出直流電壓的電容如表1所顯示。
保底軟開啟時刻控制為3ms。能使用在TRK管腳和VOSNS管腳中間加劇SS電容(電罐體)器來提高自己。SS電解電干凈的器皿總值可利用等式2決定:

MSN12AD20-MQ帶來個模擬系統復制粘貼管腳(TRK),使于追蹤定位另個轉換開關輸出功率或做冗余借鑒。當冗余輸出功率數據信息對接到TRK時,它看作MSN12AD20-MQ輸出額定電壓額定電壓的決定性。FB電阻是嚴格按照該表面電阻數據,軟重啟修改被刪掉。TRK搜索數據信息會在0.3V到1.4V的范圍圖內得。在階段起動期間內,TRK需用一方面做到最長600mV,以質量保障順利啟動。往后,能將其控制在為0.3V和1.4V互相的不管什么值。
MSN12AD20-MQ應有最大功率美麗(PG)效果。PG是MOSFET的開漏。按照其上拉電阻器器(一般為10kΩ)將PG聯接到VCC或另外達不到3.6V的外面額定的電壓源。施用錄入額定的電壓后,MOSFET通斷,由此在軟起動時備考好前,PG被拉至GND。在FB的直流電壓實現目標參考使用的直流電壓的96%后,PG在0.8ms延時后被拉伸。當FB的電流值降低參考價值的電流值的80%或少于標稱參考選取工作電壓的116%時,PG重置為低。PG最多只能夠在新的軟運行后已經被拉漲。這樣復制粘貼啟閉電沒法為MSN12AD20-MQ供水,則殊不知PG據上拉電阻功率器應用到外部結構整流按鈕電源開關,PG也會被鉗位為低。
西安市立維創展科持授權證書微商代理Cyntec集體物品,銳意創新為買家出具高品級、優質量管理、收費公證的24v電源MUN3CAD03-SE產品設備。目前為止,立維創展有一大成批Cyntec交流電源貨源,如材質:MUN12AD03-SEC,MUN3CAD03-SE等。新產品原版原廠的,重量能保證,共為我們大陸臺灣市面 可以提供技術工藝蘋果支持,歡迎語在線咨詢。
信息分析Cyntec請點選://www.myloveidc.com/brand/16.html
上一篇: AC-DC電源模塊_AC-DC轉換器——PICO電源模塊
下一篇: LINEAR壓電微執行器驅動器