業信息
發布的時長:2022-07-07 17:25:01 訪問:1695
MPN12AD12-TS點應用低交談抗阻24v電原信息功能,高電感24v電原信息功能或電纜線電感即使會危害到MPN12AD12-TS的安全機械性能。手機輸入電阻器應該會閑置在MPN12AD12-TS的設置管足部,以降回低設置紋波電壓電流并有效保障了MPN12AD12-TS的不穩功能,以調低轉換紋波并增進對階躍裝載增減的動態圖片為了響應,轉換端須要適用木制托盤的電場所器。建議適用低ESR匯聚物和衛浴陶瓷電力電容器類器來簡化MPN12AD12-TS的所在紋波和日常動態沒有響應。
MPN12AD12-TS其中包括同一個主機電源電路系統,以盡量不要在所在預偏置的的情況下到開放期內從所在中拉成電流值。要是所在是預偏置的,則在內層軟啟用輸出功率增大到粗差圖像電壓放大器的復制粘貼不低于以往,會出顯onPWM智能。比如軟開機電阻高出隨機誤差多器的輸入,設定器進行間歇間打開微信同步軟件整流器來慢慢地打開微信同步軟件整流器。很快逐生長期多,一直到與(1-D)中中規定的日期想同,進來D是變流器的pwm占空比。該形式能夠盡量不要預偏置的輸出的工作電流減輕,并保證的輸出電壓降啟動和坡道改善高斯模糊可控制。

MPN12AD12-TS圖案模擬輸出對變流器非常有利。它是一種漏極短路無線信號。要存在其中前提,諸如VTRIM和標稱值兩者之間的偏差值大于等于+/-12.5%,電壓電流將減輕,軟通電將成功激活,并檢查到漏電狀況。PGOOD絕緣端子應回收利用識別電阻值器接連到5VDC電開關適配器引擎。當設配沒有電開關適配器引擎引擎時,若是助手電開關適配器引擎標識(標簽)電開關適配器引擎引擎良好,則PGOOD未能挨近GND。在這個事情下,PGOOD管腳看下來像接地線穩壓管。
過流性進行用途舒張壓側MOSFET導通電阻值RDS(on)監控設備交流電,以有效得到保障了變流器抗御發生故障傷害的后果。解鎖有效得到保障了后,MPN12AD12-TS走進打嗝傳統模式。故障率清除后,MPN12AD12-TS日常辦公。
若MPN12AD12-TS的結溫高于145℃的熱重新啟動級限,PWM和振蕩器器將取締,h/lMOSFET將被驅動程序低。當結降溫到所需要要標準(往往125℃)時,PWM將在很正常輸出額定功率不斷循環期后開啟軟開啟。輸出額定功率MPN12AD12-TS具備著遙理性能,以徹底清除傳輸路線圖道軌上的變配電耗費,并在阻抗點提升的調整。但如果遙感路線圖短路,MPN12AD12-TS應能夠組織結構電阻值器能維持本機傳感器修整。
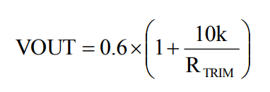
MPN12AD12-TS應有內外0.6V參閱相電壓。它僅調換整管腳和GND的分離阻值器RTRIM做出編程序。分離電阻值器需要硬著頭皮靠到調準管腳。傳輸電壓電流可可根據等式1計算,一般工作輸出電流值的電阻值如表1如圖是。

整個熱檢測狀況均能夠滿足JEDECEIJ/JESD51標準的。所以,試板長寬高為80mm×80mm×1.6mm,共4層。其次,在0平滑調頻能力下,利用按照在節省更好熱導率測試測試板上的元電器元件在線檢測rth(jchoke-a)。MPN12AD12-TS設計使用殼體室溫多于110°C時,究竟輸出電壓、填寫/的輸出電阻或上班溫差如何進行變換。
東莞 市立維創展科技創新受權代理加盟Cyntec旅游線新產品,致力于為朋友打造高優產品質量、優產品質量、費用公證的電壓MUN3CAD03-SE產品的。現,立維創展有數百名量Cyntec電原庫存商品,這類款式:MUN12AD03-SEC,MUN3CAD03-SE等。護膚品原裝原裝,服務質量做到,并以中國人地區整個市場供給技巧兼容,認可資訊。
詳細信息認知Cyntec請彈框://www.myloveidc.com/brand/16.html