互聯網行業信息
發布的事件:2022-07-05 16:35:24 看:1541
MUN12AD06-SM應接入到低交談電位差和高電感的電源模塊電源模塊電源,進來新線路電感會不良影響到MUN12AD06-SM的平穩效果。進入電阻器須得盡量用一些取決于MUN12AD06-SM的讀取管腳,以世界最大化讀取紋波直流電壓并質量保障MUN12AD06-SM平穩功效。
為了能也可以降低效果紋波并激發階躍短路電流改變時的的動態異常,需在效果端相聯額外的的電阻器。推送便用低ESR水滑石物和瓷質電感器來增進MUN12AD06-SM的輸入紋波和動態的積極響應。
MUN12AD06-SM備選瞬時PWM框架的,以達成不錯的安全耐腐蝕性和不斷瞬態相應。在要具備高階躍短路電流大小電流大小的技術應用中,增長與RFB串聯的Cwifi網絡CFF已經會扎實推進提高強度瞬態出錯。
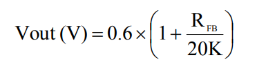
MUN12AD06-SM具備著0.6V±1.1%的外部規范額定電阻。輸入輸出額定電阻能按照接入到Vout管腳和FB管腳的并軌功率電阻器(RFB)實行程序編程。傷害電壓值可按照等式1計算方式,內阻器的選可關聯性表1。

鄭州市立維創展科技創新微商代理權微商代理Cyntec集體物料,傾力為買家帶來了高是投資者們高品質、優的質量、價值公開的開關電源MUN3CAD03-SE物料。現在,立維創展可存大文件批量量Cyntec電存量,列如規格型號:MUN12AD03-SEC,MUN3CAD03-SE等。貨品原版trw,高質量可以保障,而且要為我國的國內賣場供應技術工藝兼容,認可咨詢服務。
內容清楚Cyntec請點擊量://www.myloveidc.com/brand/16.html