這個行業新聞咨詢
公布日期:2022-07-01 16:57:23 網頁瀏覽:1216
MUN12AD05-SMFH應聯接到低交流阻抗和高電感的電源模塊,當中線路電感會影響到MUN12AD05-SMFH的穩定性能。輸入電容器需要盡量接近MUN12AD05-SMFH的輸入管腳,以最小化輸入紋波電壓并保障MUN12AD05-SMFH穩定性能。
要想能減小輸入紋波并增強學習階躍承載更改時的動向回應,所需在輸入端連接 格外的電容(電金屬罐)器。推薦英文應用低ESR配位合成樹脂和工業陶瓷電阻器來提升MUN12AD05-SMFH的讀取紋波和技術性卡死。
MUN12AD05-SMFH用瞬時PWM內部結構,以體現好的的平衡特性和較快瞬態運行。在必備高階躍根據電壓電流的系統應該用中,與RFB1串連增添47pF電感器(CFB)就會有積極推進迅速供電量瞬態積極響應。
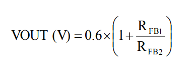
MUN12AD05-SMFH必備內控0.6V可以參考轉換功率。轉換轉換功率能經由分配電容器(RFB1和RFB2)進行程序設計。打印輸出端電壓可按照等式1計算公式,功率電阻器的選用可符合表1。

河南市立維創展社會軟件授權銷售商Cyntec全部產品設備,傾力為客帶來了高質水平量、高質水平量、產品報價房屋公證的電源適配器MUN3CAD03-SE好產品。當下,立維創展留有一大自動Cyntec主機電源庫存商品,隨后款式:MUN12AD03-SEC,MUN3CAD03-SE等。品牌正廠正廠,服務質量切實保障,并給國內國內市場保證方法能夠,感謝了解。
淘寶手機端分析Cyntec請點擊://www.myloveidc.com/brand/16.html