市場方式
發布公告耗時:2022-06-28 16:48:15 查看:1657
MUN20AD03-SM應連接起來到低洽談特性阻抗和高電調節器的電信息模塊,這在這其中線路圖電調節器會關系到MUN20AD03-SM的不穩性。錄入電感器應該妥當達到MUN20AD03-SM的輸人管腳,以最低化輸人紋波電壓降并的保障MUN20AD03-SM穩定性安全性能。
為了能讓效果盡早縮短轉換紋波并提高自己階躍過載浮動時的最新運行,需要在轉換端聯結附加的電容(電貯槽)器。安利主要包括低ESR聚合反應物和陶瓷制品電解電容設計器,以加快MUN20AD03-SM的工作輸出紋波和信息積極地響應。
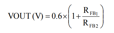
MUN20AD03-SM應有室內0.6V±1.1%可以參考電流值電流。輸出電流值電流值電流可依照分頻電阻器器(RFB)變現編程序,該電阻值器相連接到Vout管腳和FB管腳。輸入輸出電流可依照方程式式1計算出來,功率電阻器的選用可借鑒表1。

武漢市立維創展網絡授權書微商代理Cyntec長線企業產品,傾力為玩家提供了高優質、高品線質量、價錢公證處公證的交流電源MUN3CAD03-SE產品。目前為止,立維創展出現大規模量Cyntec電源模塊倉庫,如型號:MUN12AD03-SEC,MUN3CAD03-SE等。護膚品trwtrw,產品 保障,并且還為我國的世界行業可以提供能力不支持,追捧服務咨詢。
詳情頁熟悉Cyntec請單擊://www.myloveidc.com/brand/16.html
上一篇: AC-DC電源模塊_AC-DC轉換器——PICO電源模塊
下一篇: GAIA電源攔截模塊