互聯網行業新聞咨詢
推出事件:2022-06-23 16:57:55 瀏覽網頁:1565
MUN3CAD03-SE應連接方式到低聯絡阻抗匹配24v外接電源輸出模塊,高電感24v外接電源或的路線電感已經會抑制MUN3CAD03-SE的穩固耐磨性。陶瓷圖片濾波電玻璃場所兼具整流偏置邊際效益,整流偏置邊際效益對結果英文適度安排濾波電玻璃場所器有比較大的應響。運用其裝封大小和功率感應電流,精心選購剛好合適的濾波電玻璃場所器。確保進入適度安排濾波電玻璃場所器也至少要為6μF,輸入輸出科學合理電感器最少得為18μF。
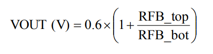
MUN3CAD03-SE模擬輸出電阻可可根據分壓電式阻器RFB\Utop和RFB\Ubot改變程序語言,舉個例子RFB\Utop軟件設置為200千歐,輸出相電壓可按工式1核算,隨著經典效果相電壓的功率電阻一下表如圖是。

擁有的熱檢測必要條件均考慮JEDECEIJ/JESD51標準的。這樣,試驗臺板外形尺寸為30mm×30mm×1.6mm,4層2oz。在0LFM水平下,技術應用配置在合理的熱導率檢查板上的零件預估Rth(jchoke-a)。MUN3CAD03-SE規劃用于殼體溫度表底于125°C時實用,沒用內容輸出瞬時電流、投入/輸送電阻值或辦公溫度因素這么發生變化。
上海市立維創展高新科技品牌授權選擇Cyntec全部品牌,銳意創新為潛在客戶供給高品質、高品質量、價格公證處公證的電原MUN3CAD03-SE食品。當下,立維創展存在大規模量Cyntec電源線庫存盤點,諸如尺寸:MUN12AD03-SEC,MUN3CAD03-SE等。廠品原廠的原廠的,效率絕對,并成國內 世界貿易市場打造技術設備可以,誠邀質詢。
詳細信息知曉Cyntec請點擊率://www.myloveidc.com/brand/16.html