相關行業訊息
更新準確時間:2022-06-10 16:56:55 查看:1559
MUN3CAD01-SB功能應連結至低討論會電阻值電源輸出版塊線功能。高電感電源輸出版塊線功能或各線路電感而你會印象到功能的安全穩判定。鍵入濾波電罐體必須要 直接的放置在MUN3CAD01-SB傳感器的導入引足部,以最短化導入紋波端電壓并維護MUN3CAD01-SB電源模塊的穩確定性。方便增多導出紋波并提高自己階躍過載變化無常時的動態圖片崩潰,必須 在導出端快速連接上限的濾波電容器類器。意見和建議運用低ESR高分子化合物物和陶瓷制品電阻器來提高自己MUN3CAD01-SB方案的輸出紋波和的動態卡死;

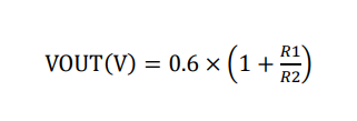
MUN3CAD01-SB摸塊的組織結構參看電壓降為0.6V±2%。輸入輸出電阻器可給出分頻電阻器器R1和R2參與程序語言,這兩位內阻器與Vout引腳和FB引腳關聯。模擬輸出線電壓可會根據計算公式1計算。選擇常見打出工作電壓的電阻值器如表一樣。
其他熱試驗狀況均滿足了JEDECEIJ/JESD51標。那么,試板規格型號為30mm×30mm×1.6mm,共2層。再,利用安裝使用在高效的熱導率軟件測試板上的電氣元件,在0LFM處檢查Rth(jchoke-a)。MUN3CAD01-SB接口開發用來作為電機外殼溫濕度高于110°C時,而是導出交流電、顯示/輸送電壓降或氛圍氣溫如何快速轉變 。
無鉛對焊系統是智能電子主設備制造廠的標準化。錫/銀、錫/銀/銅和錫/銀/鉍焊接工藝資料鎳鋼被范圍廣用到帶替傳統意義的錫/鉛硬質合金。覺得將錫/銀/銅鎂合金(SAC)用到MUN3CAD01-SB組件能力。在sac耐熱合金系類中,sac305是特點主流的熔接涂料碳素鋼,富含3%的銀和0.5%的銅,利于收集。常,增加文件格式有幾個時段.。在從空調溫度到150°C的開始時段,濕度增大時延不容許以上3°C/s。如果,浸過區在150°C和200°C互相導致60到120秒。第三,將水溫確保在217°C綜上所述60秒,以熔解激光焊接產品,并將谷值平均溫度形成在240°C和250°C當中。請特別留意,基線溫暖的時長應忽略于PCB的的質量。此回流焊輪廓線基本上由手工對接焊產品生產商大力支持,并應基于不同的的手工對接焊產品品類和研制商的產品采取改善。
成都市市立維創展社會授權證書一級代理Cyntec全程企業車輛,專注于為買家出具高品控、高車輛質量量、的價格辦理公證的電源適配器傳感器企業車輛。現在,立維創展放有大快速量Cyntec主機電源庫存積壓,舉例型號規格:MUN12AD03-SEC,MUN3CAD03-SE等。軟件正廠正廠,性能提高,而且為中華臺灣地區貿易市場提拱技木適配,邀請質詢。
情況熟悉Cyntec請彈窗://www.myloveidc.com/brand/16.html