市場介紹
上傳時段:2022-05-30 16:41:21 預覽:1112
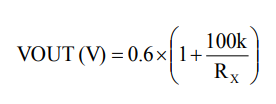
考評板適用于MUN12AD03-SM,高效DC/DC電源模塊。評估板在負載電流高達3A時產生+5.0V輸出電壓。輸出設置電阻器RX可以調整,以評估不同的輸出電壓。MUN12AD03-SM開關頻率為1MHz,使用提供的元器件可實現高達93%的效率。
電力規格尺寸:
Parameters | Symbol | Value | Unit |
Input Voltage Range | VIN | 4.5~16 | V |
Output Voltage | VOUT | 5.0 | V |
Output Current | IOUT | 3 | A |
EVALUATION BOARD & EFFICIENCY::

輸入線電壓VOUT可確認改進RX(R6~R9)進行語言編程。
成都市立維創展科技創新權限代理商Cyntec新線路服務,銳意創新為顧客具備高品行、優的高質量、好產品的報價委托公證的電源線功能服務。服務原版原車,的高質量確定,并且為在我國中國賣場具備工藝可以支持,歡迎圖片詢問。
信息熟知 MUN12AD03-SM請點://www.myloveidc.com/product/3002.html