餐飲行業方式
上架用時:2022-05-17 17:01:46 搜索:1790
MUN3CAD03-SE外接交流24v供電接口應相連接至低洽談電位差外接交流24v供電,高電感外接交流24v供電或電路系統電感很有可能會直接關系到外接交流24v供電接口的穩固性。工業陶瓷電解電儲槽符合直流變壓器偏置相互作用,這對既定可行電解電感有很多直接關系。基本滿足最佳的電解電儲槽,并滿足其二極管封裝型號規格規格和穩定電阻。保持進入效率電解電感更少為6μF,的輸出有效率電容器最短為18μF。
機電技術參數:
Parameters | Symbol | Value |
Input Voltage | VIN | 2.75V~5.5V |
Output Voltage | VOUT | 0.6V~3.3V |
Output Current | IOUT | 3A |
Enable Voltage | EN | 1.2V~5V |
External VDD | VDD | 3.3V~5V |

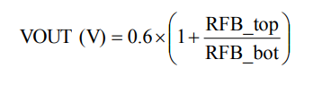
適用在MUN3CAD03-SE可調節式Vout版本號。輸入輸出輸出功率可經過分電容式阻器RFB_top和RFB_bot滿足程序設計,假設檢驗RFB_top設制為200千歐,打印輸出電阻可按計數公式1測算,依照類型讀取電阻功率值的電阻功率如表1圖甲中。
TI電源包塊包塊TPS82085因為出眾的特點和小體型大小,受人有很多投資項目矚目,但萬一交期焦慮不安,TPS82085只要首選護理玄幻加盟商的各種需求。
Cyntec主機電源接口應用場景高機械性能、小量的賣場訴求,于2021年推新新好產品MUN3CAD03-SE,故有獨角獸高達94%的24v電源利用率,飛速得到茶葉市場的認可度,在鋰微型蓄電池、服務保障器、AI會加快卡、光模塊圖片等區域路過嚴歷的用途的考驗。但是完成pin to pin重復使用TPS82085。
TPS82085與MUN3CAD03-SE的性能指標是比較下述:
產品型號 | 顯示相電壓 | 傳輸額定電壓 | 直流電 | 效果 |
TPS82085 | 2.5~6V | 0.8~Vin | 3A | 95% |
MUN3CAD03-SE | 2.75~5.5V | 0.6~3.3V | 3A | 94% |
北京市立維創展科技信息許可代辦Cyntec集體商品,銳意創新為買家帶來了高物品的品質、高的品線質量、成本公開的電源開關組件商品。商品原版進口的,的品質確定,并成全國中國內地專業市場帶來了系統扶持,誠邀服務咨詢。
信息詢問MUN3CAD03-SE請彈窗://www.myloveidc.com/article/3252.html