服務業方式
發布的日期:2021-11-04 17:10:10 搜素:2890
TI的電源模塊TPS82130SILR由于大面積缺貨,而Cyntec的uPOL電源模塊優異的封裝和性能,已經被眾多客戶pin to pin替代。
在現實情況的用中,前提條件諸多工程建設師反饋機制的工藝細節點,我們公司匯總表2點工藝用手記補點一下:
1.MUN12AD03-SEC的SS軟起動服務器求算與TPS82130SILR有很大,即上電時序讓區別。符合求算關系式一下。
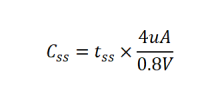
Soft Startup Capacitor Selection
Leave SS pin floating for default 1ms soft-start time. For longer than 1ms soft-start time, connect a
capacitance between the SS pin and the GND allows programming the startup slope of the output
voltage. A constant current of 4μA charges the external capacitor. The capacitance required for a given
soft startup time for the output voltage is given by Equation 2:

2.TPS82130SILR原本模擬輸出端接的L22電感/磁珠,MUN12AD03-SEC則不應該。如保存這樣電感/磁珠,則有也許 會使得turn off時 Vout會產生另一個股票震蕩,有時候從來不會的影響操作。接近波型給出圖。
越多并于Cyntec貨品科技詳情,請聯系自己的建設項目師。
北京市立維創展科技創新管理權限代理權Cyntec全面成品,專業專注為玩家出示高好品質、高效率量、價錢公開的電源開關摸塊成品。成品原版出口,效率可以保障,并給國內地市場中出示水平大力支持,受歡迎了解和咨詢。
商品詳情熟知Cyntec24v電源接口請鼠標單擊://www.myloveidc.com/brand/16.html